近日,TapTap点点周广玉研究员课题组在SCI期刊AIDS and Behavior(中科院二区)上发表了一篇题为“Efficacy of an Online Self-compassion Group Intervention for Sexual Minority Men Living with HIV: A Pilot Randomized Controlled Trial”的研究论文。该研究通过一项试点随机对照试验,关注了自我关怀干预对感染艾滋病病毒(HIV)的性少数男性的生活质量和服药依从性的潜在影响。
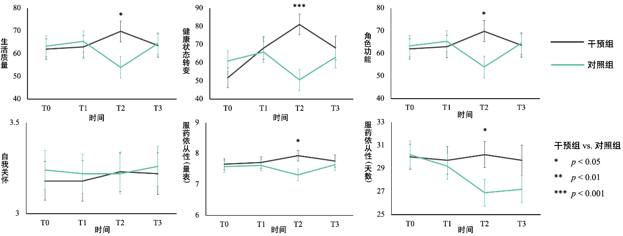
研究团队基于“正念自我关怀”(Mindful Self-Compassion, MSC)项目,开发了为期六周的在线团体干预方案,重点融入HIV相关议题(如性少数身份与HIV感染的双重污名化问题)。研究招募了28名HIV阳性的性少数男性,随机分为干预组与等待对照组,进行了基线、干预中、干预后及1个月随访的多阶段评估。研究发现,干预后,干预组在生活质量(尤其是健康状态转变、总体生活质量维度)和药物依从性上显著优于对照组(见下图)。

干预组与对照组的生活质量与药物依从性变化情况
研究初步验证了课题组开发的自我关怀干预在HIV性少数感染者这一特殊群体中的有效性,并且支持线上团体形式的可行性(78.6%全程参与率)与接受度(参与者反馈“感恩”“启发”等关键词),为未来推广远程心理健康服务提供了实践依据。
课题组博士研究生李忻奕为论文第一作者,周广玉研究员为通讯作者。文章二、三作者分别为课题组已毕业硕士生刘琼与杨裔慧。在被试招募和项目推进期间,AIDS Healthcare Foundation 王中清提供了大量帮助。该研究由国家社会科学基金项目《抗逆力视角下传染病患者的心理健康及干预研究》(批准号21BSH158)资助完成。该国社科项目以艾滋病感染者和乙肝病毒携带者为研究对象,旨在开发促进患者心理健康的干预方案。目前,依托该项目,周广玉课题组已发表了6篇SSCI/SCI期刊收录论文。
已发表论文链接如下:
1)Li, X., Liu, Q., Yang, Y., Wang, X., & Zhou, G.* (2025). Efficacy of an online self-compassion group intervention for sexual minority men living with HIV: A pilot randomized controlled trial. AIDS and Behavior, Advance online publication. https://doi.org/10.1007/s10461-025-04624-y
2)Wang, X., Li, X., & Zhou, G. *(2025). The power of loving yourself: The role of self-compassion in the relationship between self-stigma and psychological distress in people with hepatitis B. Stigma and Health. Advance online publication. https://doi.org/10.1037/sah0000534
3)Wang, X., Zhou, Y., & Zhou, G.* (2025). Unveiling the Cognitive Burden: The Role of Stigma in Shaping Distorted Thinking Among Individuals Living with Hbv. International Journal of Clinical and Health Psychology, 25(1),100556. doi: https://doi.org/10.1016/j.ijchp.2025.100556.
4)Wang X., Zhou Y., Zhou G.* (2025). Enhancing health assessments with large language models: A methodological approach. Applied Psychology: Health and Wellbeing, 17(1), e12602.
5)Liu, X., Lao, C. K., Shi, W., & Zhou, G. *(2024). Stigma and emotional distress in Chinese mental health professionals: Moderating role of cognitive fusion. Stigma and Health, 9(2), 201-211.
6)Liu, X., Bao, M., Wang, X., & Zhou, G.* (2024). A longitudinal investigation of mental health outcomes after the Henan floods in China: Examining predictors of resilience trajectories. PsyCh Journal, 13(6), 993–1003.
2025-03-14