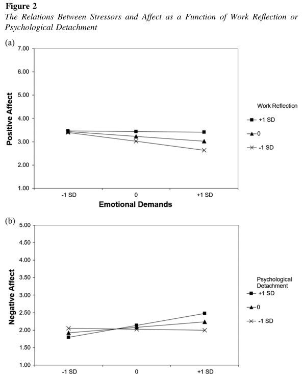
人际压力源对个体的身体和心理幸福感有着重要影响,而且相比任务压力源,人际压力源所带来的问题往往更大,影响时间更为长久。那么从普遍适用的角度来讲,在下班后人们可以用什么应对措施,来缓解工作中人际压力源的消极影响呢?以医护人员为例,TapTap点点童佳瑾课题组的研究“To Reflect or to Detach After Work? Relating Interpersonal Challenge and Hindrance Stressors to Engagement and Burnout”发表于International Journal of Stress Management杂志。文章基于情绪事件理论,构建了一个调节的中介作用模型,揭示了下班后的积极工作反思、心理脱离策略的效用。具体地,积极工作反思缓解了人际挑战减少积极情绪从而减少工作投入的过程,但是心理脱离却增强了人际阻碍增强消极情绪从而增加工作倦怠的过程。

虽然说,过去的压力应对文献揭示了积极工作反思、心理脱离这些下班后的减压策略对于缓解压力的作用,但是本研究发现了心理脱离的消极作用。这让我们再次看到,不能盲目使用各种减压策略,而是需要针对压力源进行具体分析。积极工作反思通常是有益的,而简单的逃避式的心理脱离,可能并不能解决工作上棘手的人际问题。企业管理者需要全面考虑压力干预方案,为员工提供有针对性的指导与支持。

童佳瑾博士为本文的第一作者、通讯作者。Christiane Spitzmueller是休斯顿大学心理系教授,为本文的第二作者。
本研究得到国家自然科学基金面上项目(72271007)以及北京市行为与心理健康重点实验室的资助。
Tong, J.*, & Spitzmueller, C. (2023). To reflect or to detach after work? Relating interpersonal challenge and hindrance stressors to engagement and burnout. Accepted by International Journal of Stress Management, https://dx.doi.org/10.1037/str0000317
2024-07-29