2022年1月,Journal of Vocational Behavior在线刊出姚翔研究员课题组的研究成果“Intervening to enhance proactivity for socialization: A longitudinal field experiment”。这个研究采用行为干预的手段来提升大学新生的主动性行为,跟踪研究结果表明大学新生主动性的提升带来了更好的学业表现和心理适应。在提升个体心理与行为健康领域中,这项研究是近10年内为数不多的行为干预实证研究,研究结果为发挥、提升和改善个体的主观能动性提供了新思路。
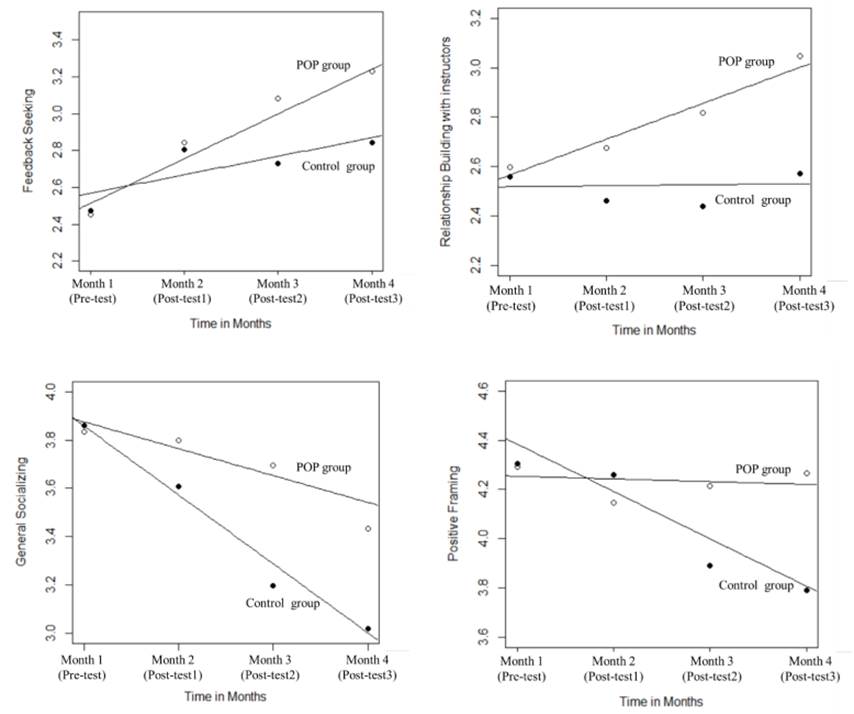
发挥个体的主观能动性是提升个体行为与心理健康的关键因素。在组织新成员适应领域中,虽然有大量研究揭示了主动性行为与诸多适应结果的关系,但很少有研究关注开发有效的干预方案提升个体的主动性行为。姚翔课题组的研究基于行动调节理论(Action regulation theory),开发了基于学术情境下提升大学新生适应主动性的干预方法。课题组对某大学的大学新生进行了对照组设计的现场干预实验,并进行为期4个月的跟踪调研。该研究结果发现,与没有接受主动性干预的新生相比,接受主动性干预的新生展现出更高水平的主动适应行为(任务反馈寻求、与老师的关系建立、与同学的社交以及积极建构行为);入学后的社交融入更好,心理焦虑情绪更低,在第一学期末的学业表现更好。值得注意的是,干预效果在干预结束后持续维持了整个调研观察期(4个月)。姚翔课题组毕业的博士研究生邓英欣(现为北京理工大学管理与经济公司助理教授)为本研究的第一作者。
论文链接:https://doi.org/10.1016/j.jvb.2022.103690

图1 大学新生入学后的主动适应行为随时间变化的组间差异比较

图2 大学新生入学后的社交融入和焦虑随时间变化的组间差异比较
2022-02-08