Interpersonal stressors have a substantial impact on individuals’ physical and psychological well-being. Compared to task-related stressors, interpersonal stressors are more problematic for health and performance, and their impact is likely longer lasting. From a universally applicable perspective, what coping measures can people adopt after work to alleviate the negative impact of interpersonal stressors in the workplace? Taking medical staff as an example, recently, a new study, “To Reflect or to Detach After Work? Relating Interpersonal Challenge and Hindrance Stressors to Engagement and Burnout,” was published in the International Journal of Stress Management by Dr. Jiajin Tong, assistant professor of School of Psychological and Cognitive Sciences, Peking University.
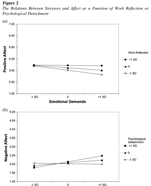
Based on the Affective Event Theory, this paper constructed a moderated mediation model, revealing the effectiveness of positive work reflection and psychological detachment strategies after work. Specifically, positive work reflection buffered the impact of interpersonal challenges on reduced work engagement via reduced positive affect. However, psychological detachment strengthened the impact of interpersonal hindrance stressors on deteriorated burnout via increased negative affect.

Although previous literature on stress management has revealed the positive role of after-work stress reduction strategies such as positive work reflection and psychological detachment, this study found the negative effects of psychological detachment. This reminds us that we need to adopt stress-reducing strategies according to specific stressors, rather than blindly using various stress reduction strategies. Positive work reflection is usually beneficial, but simple divisionary psychological detachment may not solve the thorny interpersonal problems at work. Managers need to comprehensively consider stress intervention plans and provide targeted guidance and support for employees.

Dr. Tong, Jiajin is the first and corresponding author. Christiane Spitzmueller is a professor of psychology at the University of Houston, who serves as the second author of this article.
This research received financial support from the National Natural Science Fund of China (#72271007) and the Foundation of Beijing Key Laboratory of Behavior and Mental Health.
Tong, J.*, & Spitzmueller, C. (2023). To reflect or to detach after work? Relating interpersonal challenge and hindrance stressors to engagement and burnout. Accepted by International Journal of Stress Management, https://dx.doi.org/10.1037/str0000317